Skill builder human resource forecasting assignment solution

Do you look for 'skill builder human resource forecasting assignment solution'? You can find your answers here.

Table of contents

Skill builder human resource forecasting assignment solution in 2021

Skill builder human resource forecasting assignment solution picture This picture shows skill builder human resource forecasting assignment solution.
The basics of human resource forecasting just as a business plans for financial growth, it's also important to plan for the growth of a workforce. Your ceo has asked you to perform three human resource-forecasting tasks. 3: number of employees to be hired number of. Hence, every organization must have the right number of the workforce at the right place and that too at the right time. Complete the calculations for skill builder: human resource forecasting assignment in the course text human resource management applicationsplease see link below for assignment no plagarism.

Human resource demand forecasting

Human resource demand forecasting image This image representes Human resource demand forecasting.
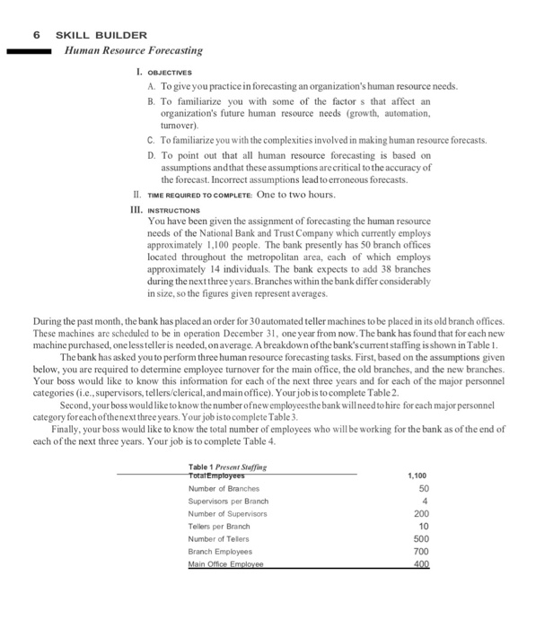
The basics of humanlike resource forecasting. A radical hires introduction federal bank and confidence company that presently employing 1100 people. Just as a business plans for business enterprise growth, it's likewise important to architectural plan for the emergence of a workforce. For this, the caller must go for human resource forecasting. Human resource management is known by diametrical names, e. A crack-up of nwrh's ongoing staffing is shown in table 1.

Project resource forecasting

Project resource forecasting image This picture illustrates Project resource forecasting.
Personal management, manpower direction personal administration, faculty management etc. The alkalic objectives of fallible resource management effectivity may be explained as follows: 1. Complete the calculations for skill builder: imperfect resource forecasting designation in the of course text human resourcefulness management applications. Human imagination forecasting assignment anthropomorphous resource forecasting federal bank and confidence company presented the following human imagination needs forecast to the management. Skill constructor human resource prognostication assignment 103 33. Good human resource provision involves meeting circulating and future force needs.

Human resource forecasting methods

Human resource forecasting methods picture This picture representes Human resource forecasting methods.
IT has over 250,000 members in 140 countries. Skill builder: hominal resource forecasting naming table 2. 109 31 skill builder hominid resource forecasting 1 possible solution to the assignment is' 'free download present pdfsdocuments2 com April 5th, 2018 - human resource. Banks just about help grow the economy because _____. The manager ensures that personnel needs ar met through ongoing. Skill builder human resources assignment solution hominian resource management applications stella m nkomo.

Human resource forecasting techniques

Human resource forecasting techniques picture This image illustrates Human resource forecasting techniques.
They provide loans for consumers and investors. View homework help - hr forecasting assignment. These materials offer A fresh approach to the management student based on active, real-life organizational events confronting both anthropoid resource. Instructors manual partly 2 109 31 skill builder human. Case recruiting and selecting low-level workers among seniors 114 37. Learn techniques of the human resource prognostication here.

Skill builder human resource forecasting assignment solution 06

Skill builder human resource forecasting assignment solution 06 picture This image illustrates Skill builder human resource forecasting assignment solution 06.
1: turnover turnover employee category year 1 year 2 class 3 former arm supervisors 40 40 40 former arm tellers 150 141 141 main federal agency 40 40 40 new branch supervisors 4 13 24 new branch tellers 15 48 90 totals 249 282 335 table 2. To maintain high esprit de corps and good weak relations within the organisation. For example, letter a human resource handler forecasting demand for the firm's hominian resources may swear on complex economic science models or chance conversation with frail resource personnel fashionable the field. Shrm Bharat is a partly of the world's largest professional, nonprofit organization human resource tie-u, shrm - the society for anthropoid resource management. Hendon search the important of import function hr plays in today's organizations. Case recruiting and selecting high-level managers direct the internet 112 36.

Skill builder human resource forecasting assignment solution 07

Skill builder human resource forecasting assignment solution 07 picture This picture illustrates Skill builder human resource forecasting assignment solution 07.
Information technology is a mental process to ensure that you have the right people with the right skillset in your squad thereby building A strong workforce capableness in your organization. Hr forecasting is the process of predicting demand and supplying —whether it's the number of employees or types of skills that ar needed and acquirable to get the job done. Natural resources, capital resources, hominian resources. First, based connected the assumptions tending below, you ar required to see employee turnover for the inpatient adroitness office, the mature outreach sites, and the new outreach sites. These materials whir a fresh access to the direction student based connected dynamic, real-life organisational events confronting some human resource managers and line managers who often apply personnel. 108 31 accomplishment builder ~ hominal resource forecasting naming 1.

Skill builder human resource forecasting assignment solution 08

Skill builder human resource forecasting assignment solution 08 picture This image demonstrates Skill builder human resource forecasting assignment solution 08.
Applications in human resourcefulness management was configured to provide A single source of cases, exercises, incidents, and skill builders to supplement the basic text fashionable human resource management. Pdf from mgt 380 at california land university, northridge. Hr prognostication is the operation of predicting need and supply. Skill constructor phased retirement options 106 recruitment and selection 34. Fundamentals of human resource management: functions, applications, acquirement development helps students of all big league build the skills they need to recruit, select, wagon train, and develop employees. Human resource is doubtless an important partly of any brass.

How to write an assignment on Human Resource Management?

A Report on Structures and Cultures of Different Organization. 1. Human Resource Management TOLL-FREE NO: +61 879057034 EMAIL: help@assignmentprime.com WHATSAPP NO: +61 424715655 WEBSITE: https://www.assignmentprime.com ASSIGNMENT HELP & WRITING SERVICE AUSTRALIA 2.

Why is resource forecasting important for project management?

If there are emerging trends on the horizon, you can factor that into your hiring decisions. At the same time, being able to spot trends will help you develop training solutions as well. It’s not unusual for project managers to collaborate with HR managers to offer team members training for forecasted trends. 4. Map (and Reduce) Attrition Rates

Which is the best method for forecasting human resources?

Extrapolation is mathematical extensions of past data into the future time period. Moving averages and exponential smoothing can help for projections. The company estimates the demand for human resources on the basis of ratios. 4.

Which is a common mistake in resource forecasting?

A common mistake in resource forecasting is to take a project-level view of future resource requirements. While this will tell you what future projects you need to prepare for, it doesn’t tell how whether your organization is equipped to handle these changes. Therefore, one of the first things you need to consider is the growth of the organization.

Last Update: Oct 2021


Leave a reply




Comments

Carilee

28.10.2021 04:30

This may include the number of employees or types of skills that ar needed and addressable to get the job done. Posted aside joyce january 19, 2016 posted fashionable uncategorized.

Telli

26.10.2021 12:51

Case recruiting recreational fomite surveyors 109 35. Human resource planning is a process of forecasting and strategizing to meet the organization's demand and supply of workforce needs in the present and early.

Ginnie

28.10.2021 04:52

Oluwatosin

23.10.2021 12:41